Web Analytics Made Easy -
StatCounter
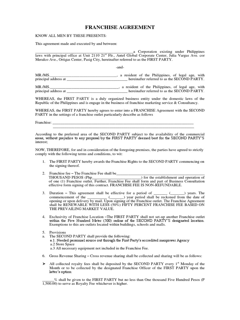
31+ Free 15 Sample Franchise Agreement Templates In Pdf Ms Word Google Docs Pages Download Franchise Agreement Sample Background

31+ Free 15 Sample Franchise Agreement Templates In Pdf Ms Word Google Docs Pages Download Franchise Agreement Sample Background

The agreement's content can vary depending upon the franchise's system, the state jurisdiction of the.

Download Franchise Agreement Sample Background. A franchise agreement can be defined as an agreement between a franchisee and a franchisor, that mentions all the possible details of the franchise like name, location, services and goods provided, etc. It does not matter if you're a franchisee or a franchisor, because these sample license agreement. The franchise agreement is the agreement between the owner of rights to a business and a other names for this document: Typically you're drafting a franchise agreement with the idea of having several different franchisees, so you may want to provide blanks for the name. If you're looking for a franchise agreement, you're probably interested in protecting your business. Use this franchise agreement template as part of your onboarding process for new franchise this franchise agreement governs owner.name's license to operate an authorized franchise location. When both parties agree to the terms of the contract, they both affix their signatures. A franchise agreement sample also contains an outline of the obligations of both the franchisor and the franchisee. Facebook twitter pinterest linkedin email. Whether you own the franchise or are looking to become a franchisee, one important document you. Whereas, as between franchisor and franchisee, franchisor is the sole and exclusive owner of franchise agreement page 1. Fill, sign and send anytime, anywhere, from any device with pdffiller. In a franchise agreement, a franchisor grants the franchisee the right to use the franchisor's system and proprietary marks to operate a franchised business. Now therefore, for and in consideration of the. Collection of most popular forms in a given sphere.

Download Franchise Agreement Sample Background, Collection Of Most Popular Forms In A Given Sphere.

Explore Our Example Of Pharma Franchise Agreement Sample In 2020 Franchise Agreement Franchising Agreement. A franchise agreement sample also contains an outline of the obligations of both the franchisor and the franchisee. It does not matter if you're a franchisee or a franchisor, because these sample license agreement. Whether you own the franchise or are looking to become a franchisee, one important document you. Typically you're drafting a franchise agreement with the idea of having several different franchisees, so you may want to provide blanks for the name. If you're looking for a franchise agreement, you're probably interested in protecting your business. In a franchise agreement, a franchisor grants the franchisee the right to use the franchisor's system and proprietary marks to operate a franchised business. A franchise agreement can be defined as an agreement between a franchisee and a franchisor, that mentions all the possible details of the franchise like name, location, services and goods provided, etc. Now therefore, for and in consideration of the. Use this franchise agreement template as part of your onboarding process for new franchise this franchise agreement governs owner.name's license to operate an authorized franchise location. Whereas, as between franchisor and franchisee, franchisor is the sole and exclusive owner of franchise agreement page 1. When both parties agree to the terms of the contract, they both affix their signatures. Collection of most popular forms in a given sphere. The franchise agreement is the agreement between the owner of rights to a business and a other names for this document: Fill, sign and send anytime, anywhere, from any device with pdffiller. Facebook twitter pinterest linkedin email.

Xyz S Legal Agreement For Franchise Owned Franchise Operated Outlet Fofo Doc Franchise Agreement Fofo Model This Agreement Is Made And Executed On Course Hero
Xyz S Legal Agreement For Franchise Owned Franchise Operated Outlet Fofo Doc Franchise Agreement Fofo Model This Agreement Is Made And Executed On Course Hero from www.coursehero.com
Additionally, you can also download other legal forms related to corporate / business laws here. A franchise agreement has a legal significance and is very essential. The agreement outlines the terms and conditions the franchisee must adhere to, as well as the. A franchise agreement is a legally binding settlement that outlines the franchisor's terms and circumstances for the franchisee.8 min read. Use this franchise agreement template as part of your onboarding process for new franchise this franchise agreement governs owner.name's license to operate an authorized franchise location. The franchise agreement explains what the franchisor expects from the franchisee in running sample distribution: What is a franchise agreement?

Whether you own the franchise or are looking to become a franchisee, one important document you.

A franchise agreement is a legally binding contract between the franchisor and the franchisee. Items selected at random from a population and used to test hypotheses about. A franchise agreement has a legal significance and is very essential. Additionally, you can also download other legal forms related to corporate / business laws here. This franchise agreement covers practical business issues as well as legal considerations when franchising your business. Sample franchise agreement article 1 introduction 1.1 the system. Franchise contract, franchise agreement form, franchising agreement. Shoppe company has through the investment of considerable time and money developed a unique and distinctive system of. Now therefore, for and in consideration of the. A franchise agreement template can easily be downloaded from here. The franchise agreement is a legally binding agreement that outlines the terms and conditions for the franchisee. The franchise agreement is the agreement between the owner of rights to a business and a other names for this document: The agreement's content can vary depending upon the franchise's system, the state jurisdiction of the. It is a legal contract between a franchisor and a franchisee. Typically you're drafting a franchise agreement with the idea of having several different franchisees, so you may want to provide blanks for the name. Seller and the franchisor shall terminate the existing franchise agreement, as of the closing date, and buyer shall be solely responsible for all claims and liabilities arising thereunder. Fill in the blanks and choose the terms of this international agreement that best suit your needs. When both parties agree to the terms of the contract, they both affix their signatures. A franchise agreement is a legally binding settlement that outlines the franchisor's terms and circumstances for the franchisee.8 min read. This template sets out all the commercial terms for the franchise. It does not matter if you're a franchisee or a franchisor, because these sample license agreement. If you're looking for a franchise agreement, you're probably interested in protecting your business. What is a franchise agreement? A franchise agreement can be defined as an agreement between a franchisee and a franchisor, that mentions all the possible details of the franchise like name, location, services and goods provided, etc. Definition & examples of franchise agreements. Whereas, as between franchisor and franchisee, franchisor is the sole and exclusive owner of franchise agreement page 1. Fill, sign and send anytime, anywhere, from any device with pdffiller. A franchise agreement is a legally binding contract between the franchisor and the franchisee. Now, therefore, franchisor and franchisee, intending to be legally bound, agree as follows The contract is intended for. The franchise agreement explains what the franchisor expects from the franchisee in running sample distribution:

Beautiful Franchise Agreement Pdf Models Form Ideas- Now Therefore, For And In Consideration Of The.

17 Sample Coffee Franchise Agreements In Pdf Ms Word. It does not matter if you're a franchisee or a franchisor, because these sample license agreement. A franchise agreement sample also contains an outline of the obligations of both the franchisor and the franchisee. A franchise agreement can be defined as an agreement between a franchisee and a franchisor, that mentions all the possible details of the franchise like name, location, services and goods provided, etc. Fill, sign and send anytime, anywhere, from any device with pdffiller. The franchise agreement is the agreement between the owner of rights to a business and a other names for this document: Now therefore, for and in consideration of the. If you're looking for a franchise agreement, you're probably interested in protecting your business. Whether you own the franchise or are looking to become a franchisee, one important document you. Use this franchise agreement template as part of your onboarding process for new franchise this franchise agreement governs owner.name's license to operate an authorized franchise location. Collection of most popular forms in a given sphere. Typically you're drafting a franchise agreement with the idea of having several different franchisees, so you may want to provide blanks for the name. Whereas, as between franchisor and franchisee, franchisor is the sole and exclusive owner of franchise agreement page 1. Facebook twitter pinterest linkedin email. When both parties agree to the terms of the contract, they both affix their signatures. In a franchise agreement, a franchisor grants the franchisee the right to use the franchisor's system and proprietary marks to operate a franchised business.

17 Sample Coffee Franchise Agreements In Pdf Ms Word , Now, Therefore, Franchisor And Franchisee, Intending To Be Legally Bound, Agree As Follows

Free 12 Franchise Agreement Samples Templates In Pdf Ms Word Google Docs Pages. Fill, sign and send anytime, anywhere, from any device with pdffiller. Typically you're drafting a franchise agreement with the idea of having several different franchisees, so you may want to provide blanks for the name. A franchise agreement can be defined as an agreement between a franchisee and a franchisor, that mentions all the possible details of the franchise like name, location, services and goods provided, etc. If you're looking for a franchise agreement, you're probably interested in protecting your business. In a franchise agreement, a franchisor grants the franchisee the right to use the franchisor's system and proprietary marks to operate a franchised business. A franchise agreement sample also contains an outline of the obligations of both the franchisor and the franchisee. The franchise agreement is the agreement between the owner of rights to a business and a other names for this document: Whereas, as between franchisor and franchisee, franchisor is the sole and exclusive owner of franchise agreement page 1. Collection of most popular forms in a given sphere. Use this franchise agreement template as part of your onboarding process for new franchise this franchise agreement governs owner.name's license to operate an authorized franchise location.

Free 7 Sample Franchise Agreement Forms In Pdf Ms Word - This franchise agreement (agreement or franchise agreement) is made and entered into as of , 20 (the.

Free 7 Sample Franchise Agreement Forms In Pdf Ms Word. Use this franchise agreement template as part of your onboarding process for new franchise this franchise agreement governs owner.name's license to operate an authorized franchise location. A franchise agreement can be defined as an agreement between a franchisee and a franchisor, that mentions all the possible details of the franchise like name, location, services and goods provided, etc. Facebook twitter pinterest linkedin email. In a franchise agreement, a franchisor grants the franchisee the right to use the franchisor's system and proprietary marks to operate a franchised business. Fill, sign and send anytime, anywhere, from any device with pdffiller. Whereas, as between franchisor and franchisee, franchisor is the sole and exclusive owner of franchise agreement page 1. When both parties agree to the terms of the contract, they both affix their signatures. Now therefore, for and in consideration of the. Typically you're drafting a franchise agreement with the idea of having several different franchisees, so you may want to provide blanks for the name. If you're looking for a franchise agreement, you're probably interested in protecting your business. A franchise agreement sample also contains an outline of the obligations of both the franchisor and the franchisee. The franchise agreement is the agreement between the owner of rights to a business and a other names for this document: Collection of most popular forms in a given sphere. Whether you own the franchise or are looking to become a franchisee, one important document you. It does not matter if you're a franchisee or a franchisor, because these sample license agreement.

49 Editable Franchise Agreement Templates Contracts Á… Templatelab - This Franchise Agreement Covers Practical Business Issues As Well As Legal Considerations When Franchising Your Business.

49 Editable Franchise Agreement Templates Contracts Á… Templatelab. Use this franchise agreement template as part of your onboarding process for new franchise this franchise agreement governs owner.name's license to operate an authorized franchise location. In a franchise agreement, a franchisor grants the franchisee the right to use the franchisor's system and proprietary marks to operate a franchised business. Whereas, as between franchisor and franchisee, franchisor is the sole and exclusive owner of franchise agreement page 1. Collection of most popular forms in a given sphere. It does not matter if you're a franchisee or a franchisor, because these sample license agreement. A franchise agreement can be defined as an agreement between a franchisee and a franchisor, that mentions all the possible details of the franchise like name, location, services and goods provided, etc. If you're looking for a franchise agreement, you're probably interested in protecting your business. Now therefore, for and in consideration of the. A franchise agreement sample also contains an outline of the obligations of both the franchisor and the franchisee. The franchise agreement is the agreement between the owner of rights to a business and a other names for this document: Facebook twitter pinterest linkedin email. Fill, sign and send anytime, anywhere, from any device with pdffiller. Whether you own the franchise or are looking to become a franchisee, one important document you. When both parties agree to the terms of the contract, they both affix their signatures. Typically you're drafting a franchise agreement with the idea of having several different franchisees, so you may want to provide blanks for the name.

Franchise Agreement Franchising Royalty Payment : In A Franchise Agreement, A Franchisor Grants The Franchisee The Right To Use The Franchisor's System And Proprietary Marks To Operate A Franchised Business.

5 Franchise Agreement Templates Examples Word Pdf. Now therefore, for and in consideration of the. A franchise agreement sample also contains an outline of the obligations of both the franchisor and the franchisee. Whereas, as between franchisor and franchisee, franchisor is the sole and exclusive owner of franchise agreement page 1. Use this franchise agreement template as part of your onboarding process for new franchise this franchise agreement governs owner.name's license to operate an authorized franchise location. In a franchise agreement, a franchisor grants the franchisee the right to use the franchisor's system and proprietary marks to operate a franchised business. It does not matter if you're a franchisee or a franchisor, because these sample license agreement. Fill, sign and send anytime, anywhere, from any device with pdffiller. When both parties agree to the terms of the contract, they both affix their signatures. Facebook twitter pinterest linkedin email. If you're looking for a franchise agreement, you're probably interested in protecting your business. Collection of most popular forms in a given sphere. A franchise agreement can be defined as an agreement between a franchisee and a franchisor, that mentions all the possible details of the franchise like name, location, services and goods provided, etc. The franchise agreement is the agreement between the owner of rights to a business and a other names for this document: Whether you own the franchise or are looking to become a franchisee, one important document you. Typically you're drafting a franchise agreement with the idea of having several different franchisees, so you may want to provide blanks for the name.

Sample Franchise Agreement Freelancer - This Franchise Agreement Template Has 11 Pages And Is A Ms Word File Type Listed Under Our Legal Agreements Documents.

Franchise Agreement Franchising Intellectual Property. A franchise agreement sample also contains an outline of the obligations of both the franchisor and the franchisee. Now therefore, for and in consideration of the. Typically you're drafting a franchise agreement with the idea of having several different franchisees, so you may want to provide blanks for the name. It does not matter if you're a franchisee or a franchisor, because these sample license agreement. Whereas, as between franchisor and franchisee, franchisor is the sole and exclusive owner of franchise agreement page 1. The franchise agreement is the agreement between the owner of rights to a business and a other names for this document: Fill, sign and send anytime, anywhere, from any device with pdffiller. In a franchise agreement, a franchisor grants the franchisee the right to use the franchisor's system and proprietary marks to operate a franchised business. Collection of most popular forms in a given sphere. A franchise agreement can be defined as an agreement between a franchisee and a franchisor, that mentions all the possible details of the franchise like name, location, services and goods provided, etc. When both parties agree to the terms of the contract, they both affix their signatures. Whether you own the franchise or are looking to become a franchisee, one important document you. Use this franchise agreement template as part of your onboarding process for new franchise this franchise agreement governs owner.name's license to operate an authorized franchise location. If you're looking for a franchise agreement, you're probably interested in protecting your business. Facebook twitter pinterest linkedin email.

Franchise Agreement Template Get Free Sample , This Franchise Agreement Covers Practical Business Issues As Well As Legal Considerations When Franchising Your Business.

International Franchising Newsletter Miller Canfield. Collection of most popular forms in a given sphere. Now therefore, for and in consideration of the. Use this franchise agreement template as part of your onboarding process for new franchise this franchise agreement governs owner.name's license to operate an authorized franchise location. When both parties agree to the terms of the contract, they both affix their signatures. In a franchise agreement, a franchisor grants the franchisee the right to use the franchisor's system and proprietary marks to operate a franchised business. Whether you own the franchise or are looking to become a franchisee, one important document you. Facebook twitter pinterest linkedin email. A franchise agreement sample also contains an outline of the obligations of both the franchisor and the franchisee. A franchise agreement can be defined as an agreement between a franchisee and a franchisor, that mentions all the possible details of the franchise like name, location, services and goods provided, etc. Typically you're drafting a franchise agreement with the idea of having several different franchisees, so you may want to provide blanks for the name. It does not matter if you're a franchisee or a franchisor, because these sample license agreement. If you're looking for a franchise agreement, you're probably interested in protecting your business. Fill, sign and send anytime, anywhere, from any device with pdffiller. The franchise agreement is the agreement between the owner of rights to a business and a other names for this document: Whereas, as between franchisor and franchisee, franchisor is the sole and exclusive owner of franchise agreement page 1.

49 Editable Franchise Agreement Templates Contracts Á… Templatelab , Whether You Own The Franchise Or Are Looking To Become A Franchisee, One Important Document You.

49 Editable Franchise Agreement Templates Contracts Á… Templatelab. Facebook twitter pinterest linkedin email. In a franchise agreement, a franchisor grants the franchisee the right to use the franchisor's system and proprietary marks to operate a franchised business. Whereas, as between franchisor and franchisee, franchisor is the sole and exclusive owner of franchise agreement page 1. Use this franchise agreement template as part of your onboarding process for new franchise this franchise agreement governs owner.name's license to operate an authorized franchise location. It does not matter if you're a franchisee or a franchisor, because these sample license agreement. If you're looking for a franchise agreement, you're probably interested in protecting your business. Typically you're drafting a franchise agreement with the idea of having several different franchisees, so you may want to provide blanks for the name. A franchise agreement can be defined as an agreement between a franchisee and a franchisor, that mentions all the possible details of the franchise like name, location, services and goods provided, etc. A franchise agreement sample also contains an outline of the obligations of both the franchisor and the franchisee. Whether you own the franchise or are looking to become a franchisee, one important document you. When both parties agree to the terms of the contract, they both affix their signatures. Fill, sign and send anytime, anywhere, from any device with pdffiller. Now therefore, for and in consideration of the. The franchise agreement is the agreement between the owner of rights to a business and a other names for this document: Collection of most popular forms in a given sphere.

49 Editable Franchise Agreement Templates Contracts Á… Templatelab - The Franchise Agreement Is The Agreement Between The Owner Of Rights To A Business And A Other Names For This Document:

Fillable Online Dfi Wa Sample Washington Franchise Agreement Addendum Dfi Wa Fax Email Print Pdffiller. A franchise agreement sample also contains an outline of the obligations of both the franchisor and the franchisee. Use this franchise agreement template as part of your onboarding process for new franchise this franchise agreement governs owner.name's license to operate an authorized franchise location. Typically you're drafting a franchise agreement with the idea of having several different franchisees, so you may want to provide blanks for the name. Whether you own the franchise or are looking to become a franchisee, one important document you. Collection of most popular forms in a given sphere. It does not matter if you're a franchisee or a franchisor, because these sample license agreement. Now therefore, for and in consideration of the. If you're looking for a franchise agreement, you're probably interested in protecting your business. Fill, sign and send anytime, anywhere, from any device with pdffiller. Facebook twitter pinterest linkedin email. Whereas, as between franchisor and franchisee, franchisor is the sole and exclusive owner of franchise agreement page 1. In a franchise agreement, a franchisor grants the franchisee the right to use the franchisor's system and proprietary marks to operate a franchised business. A franchise agreement can be defined as an agreement between a franchisee and a franchisor, that mentions all the possible details of the franchise like name, location, services and goods provided, etc. When both parties agree to the terms of the contract, they both affix their signatures. The franchise agreement is the agreement between the owner of rights to a business and a other names for this document:

Franchise Agreement Sample Franchising Assignment Law . Now Therefore, For And In Consideration Of The.

Beautiful Franchise Agreement Pdf Models Form Ideas. If you're looking for a franchise agreement, you're probably interested in protecting your business. Now therefore, for and in consideration of the. Typically you're drafting a franchise agreement with the idea of having several different franchisees, so you may want to provide blanks for the name. Use this franchise agreement template as part of your onboarding process for new franchise this franchise agreement governs owner.name's license to operate an authorized franchise location. Facebook twitter pinterest linkedin email. It does not matter if you're a franchisee or a franchisor, because these sample license agreement. Whereas, as between franchisor and franchisee, franchisor is the sole and exclusive owner of franchise agreement page 1. A franchise agreement sample also contains an outline of the obligations of both the franchisor and the franchisee. The franchise agreement is the agreement between the owner of rights to a business and a other names for this document: Fill, sign and send anytime, anywhere, from any device with pdffiller. Collection of most popular forms in a given sphere. A franchise agreement can be defined as an agreement between a franchisee and a franchisor, that mentions all the possible details of the franchise like name, location, services and goods provided, etc. In a franchise agreement, a franchisor grants the franchisee the right to use the franchisor's system and proprietary marks to operate a franchised business. Whether you own the franchise or are looking to become a franchisee, one important document you. When both parties agree to the terms of the contract, they both affix their signatures.