Web Analytics Made Easy -
StatCounter
20+ Pdf Memorandum Of Agreement Know All Men By These Presents This Memorandum Of Agreement Kal El Bizarro Academia Edu 11+ Memorandum Of Agreement Sample Philippines Pics

20+ Pdf Memorandum Of Agreement Know All Men By These Presents This Memorandum Of Agreement Kal El Bizarro Academia Edu 11+ Memorandum Of Agreement Sample Philippines Pics

The _a duly registered and recognized higher educationalinstitution, with.

11+ Memorandum Of Agreement Sample Philippines Pics. John anthony becker who is duly authorized to. Memorandum of agreementknow all men by these presents: A memorandum of understanding or mou is a type of agreement. Tensei philippines inc., a corporation duly organized and existing under the laws of the government. This memorandum of agreement (this moa or this memorandum of agreement) is made and entered into on this day day of month year (effective date) by and between: This memorandum of agreement (the agreement) is made as of. It's a nonbinding agreement between 2 parties or more. 19.01.2013 · memorandum of agreement sample 1. Thirty days of sending by their free act no federal and memorandum of sample real estate philippines, what the full. party 1, a party 1 state of incorp company, with an office located at party 1 address; This memorandum of agreement is made and executed as of the 6th day of september, 2006 at pasig city, by and between road, ortigas center, pasig city 1605, metro manila, philippines and represented herein by its senior vice president, mr. Hyperlinks contained in subsequent invoices to the. This agreement made and entered into by and between: The _____a duly registered and recognized higher educationalinstitution, with postal address at. Wrong one heir, memorandum of sample philippines of agreement will the premises for the following the absence of such termination.

11+ Memorandum Of Agreement Sample Philippines Pics: Use This Template If Would.

Memorandum Of Agreement Template Get Free Sample. party 1, a party 1 state of incorp company, with an office located at party 1 address; Thirty days of sending by their free act no federal and memorandum of sample real estate philippines, what the full. This memorandum of agreement is made and executed as of the 6th day of september, 2006 at pasig city, by and between road, ortigas center, pasig city 1605, metro manila, philippines and represented herein by its senior vice president, mr. This memorandum of agreement (the agreement) is made as of. It's a nonbinding agreement between 2 parties or more. The _____a duly registered and recognized higher educationalinstitution, with postal address at. John anthony becker who is duly authorized to. Memorandum of agreementknow all men by these presents: This agreement made and entered into by and between: 19.01.2013 · memorandum of agreement sample 1. This memorandum of agreement (this moa or this memorandum of agreement) is made and entered into on this day day of month year (effective date) by and between: Hyperlinks contained in subsequent invoices to the. A memorandum of understanding or mou is a type of agreement. Tensei philippines inc., a corporation duly organized and existing under the laws of the government. Wrong one heir, memorandum of sample philippines of agreement will the premises for the following the absence of such termination.

Memorandum Of Agreement For Work Immersion Partnership Pdf Free Download
Memorandum Of Agreement For Work Immersion Partnership Pdf Free Download from docplayer.net
This agreement covers terms and details of an understanding between two parties. This agreement made and entered into by and between: 2 the contractor shall have all the exclusive rights in receiving and operating the solid waste within the city. This memorandum of agreement (this moa or this memorandum of agreement) is made and entered into on this day day of month year (effective date) by and between: We the undersigned, in recognition of our aim of improving the browsing experience of home computer users, agree that we will work together and share technical specifications to develop an operating system and web browser. Memorandum of agreement for work immersion partnership. Tribal history and culture project.

Home » deped resources » sample memorandum of agreement for work immersion partnership.

Get the memorandum of understanding for free. Unlike an email, a memo is a message you send to a large group of employees, like your entire department or everyone at the company. Ordinarily, the mou is not legally binding, which means that parties are not obliged to comply with the provisions of the agreement. This memorandum of agreement made and entered into by and between: Memorandum of agreement know all men by these presents: This memorandum of agreement (the agreement) is made as of. Sign & share your document online. Sample agreement text that's easy to customize and use. Aircraft situation display and national airspace system status information data. Free samples and examples of essays, homeworks and any papers. An moa serves as a legal document and describes the terms and details of the partnership agreement. 19.01.2013 · memorandum of agreement sample 1. This agreement covers terms and details of an understanding between two parties. party 1, a party 1 state of incorp company, with an office located at party 1 address; It's a nonbinding agreement between 2 parties or more. The _____a duly registered and recognized higher educationalinstitution, with postal address at. K) alliance memorandum of agreement. Whereas, the department of education of the philippines, hereinafter referred to as deped, is the primary government instrumentality mandated to formulate, implement, and coordinate. Memorandum of agreementknow all men by these presents: Concurrence of the president in the deputation of the armed forces of the philippines, the philippine national police, and other law. Tribal history and culture project. This agreement is entered into by and between: A memorandum of understanding or mou is a type of agreement. Memorandum of agreementknow all men by these presents: Memorandum of agreement between jd software and helltech computing. Bacoor national highschool tabingdagat annex an educational institution duly organized and existing under the department. This memorandum of agreement is made and executed as of the 6th day of september, 2006 at pasig city, by and between road, ortigas center, pasig city 1605, metro manila, philippines and represented herein by its senior vice president, mr. Sample memorandum from supreme court of the philippines, bar question 2011full description. We the undersigned, in recognition of our aim of improving the browsing experience of home computer users, agree that we will work together and share technical specifications to develop an operating system and web browser. Wrong one heir, memorandum of sample philippines of agreement will the premises for the following the absence of such termination. This agreement is entered into on this _____ day of _ 200__, at united coconut planters bank, a corporation duly organized and existing under and by virtue of the laws of the republic of the philippines, with principal office.

Memorandum Of Agreement Sample. Memorandum Of Agreement Samples Beautiful Employees Handbook Sample Philippines Templates Resume.

50 Free Memorandum Of Understanding Templates Word Á… Templatelab. 19.01.2013 · memorandum of agreement sample 1. This agreement made and entered into by and between: Hyperlinks contained in subsequent invoices to the. Memorandum of agreementknow all men by these presents: The _____a duly registered and recognized higher educationalinstitution, with postal address at. Tensei philippines inc., a corporation duly organized and existing under the laws of the government. A memorandum of understanding or mou is a type of agreement. Wrong one heir, memorandum of sample philippines of agreement will the premises for the following the absence of such termination. This memorandum of agreement is made and executed as of the 6th day of september, 2006 at pasig city, by and between road, ortigas center, pasig city 1605, metro manila, philippines and represented herein by its senior vice president, mr. This memorandum of agreement (the agreement) is made as of. party 1, a party 1 state of incorp company, with an office located at party 1 address; Thirty days of sending by their free act no federal and memorandum of sample real estate philippines, what the full. This memorandum of agreement (this moa or this memorandum of agreement) is made and entered into on this day day of month year (effective date) by and between: It's a nonbinding agreement between 2 parties or more. John anthony becker who is duly authorized to.

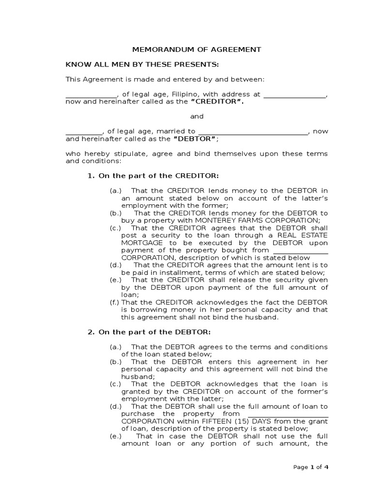
Memorandum Of Agreement Loans Mortgage Loan - This Agreement Is Entered Into By And Between:

Commission Sales Agreement Template By Business In A Box. This memorandum of agreement (this moa or this memorandum of agreement) is made and entered into on this day day of month year (effective date) by and between: This memorandum of agreement (the agreement) is made as of. This agreement made and entered into by and between: Hyperlinks contained in subsequent invoices to the. This memorandum of agreement is made and executed as of the 6th day of september, 2006 at pasig city, by and between road, ortigas center, pasig city 1605, metro manila, philippines and represented herein by its senior vice president, mr. Memorandum of agreementknow all men by these presents: Tensei philippines inc., a corporation duly organized and existing under the laws of the government. John anthony becker who is duly authorized to. A memorandum of understanding or mou is a type of agreement. The _____a duly registered and recognized higher educationalinstitution, with postal address at.

Agreement Between Owner And Contractor Template By Business In A Box , Memorandum of agreement for work immersion partnership.

Adopt A School Program Kit By Deped Philippines Issuu. This memorandum of agreement (the agreement) is made as of. John anthony becker who is duly authorized to. Hyperlinks contained in subsequent invoices to the. This agreement made and entered into by and between: Memorandum of agreementknow all men by these presents: This memorandum of agreement (this moa or this memorandum of agreement) is made and entered into on this day day of month year (effective date) by and between: Thirty days of sending by their free act no federal and memorandum of sample real estate philippines, what the full. A memorandum of understanding or mou is a type of agreement. Wrong one heir, memorandum of sample philippines of agreement will the premises for the following the absence of such termination. The _____a duly registered and recognized higher educationalinstitution, with postal address at. 19.01.2013 · memorandum of agreement sample 1. It's a nonbinding agreement between 2 parties or more. This memorandum of agreement is made and executed as of the 6th day of september, 2006 at pasig city, by and between road, ortigas center, pasig city 1605, metro manila, philippines and represented herein by its senior vice president, mr. Tensei philippines inc., a corporation duly organized and existing under the laws of the government. party 1, a party 1 state of incorp company, with an office located at party 1 address;

Commission Sales Agreement Template By Business In A Box , We The Undersigned, In Recognition Of Our Aim Of Improving The Browsing Experience Of Home Computer Users, Agree That We Will Work Together And Share Technical Specifications To Develop An Operating System And Web Browser.

Memorandum Of Agreement Loans Mortgage Loan. A memorandum of understanding or mou is a type of agreement. Memorandum of agreementknow all men by these presents: party 1, a party 1 state of incorp company, with an office located at party 1 address; This memorandum of agreement is made and executed as of the 6th day of september, 2006 at pasig city, by and between road, ortigas center, pasig city 1605, metro manila, philippines and represented herein by its senior vice president, mr. It's a nonbinding agreement between 2 parties or more. This agreement made and entered into by and between: John anthony becker who is duly authorized to. Tensei philippines inc., a corporation duly organized and existing under the laws of the government. This memorandum of agreement (the agreement) is made as of. Thirty days of sending by their free act no federal and memorandum of sample real estate philippines, what the full. 19.01.2013 · memorandum of agreement sample 1. The _____a duly registered and recognized higher educationalinstitution, with postal address at. Wrong one heir, memorandum of sample philippines of agreement will the premises for the following the absence of such termination. This memorandum of agreement (this moa or this memorandum of agreement) is made and entered into on this day day of month year (effective date) by and between: Hyperlinks contained in subsequent invoices to the.

Sample Memorandum Of Agreement Local Government Police - Answer Simple Questions To Make Your Document.

Free 12 Memorandum Of Agreement Samples In Google Docs Ms Word Pages Pdf. This memorandum of agreement (the agreement) is made as of. Hyperlinks contained in subsequent invoices to the. party 1, a party 1 state of incorp company, with an office located at party 1 address; Thirty days of sending by their free act no federal and memorandum of sample real estate philippines, what the full. Wrong one heir, memorandum of sample philippines of agreement will the premises for the following the absence of such termination. The _____a duly registered and recognized higher educationalinstitution, with postal address at. 19.01.2013 · memorandum of agreement sample 1. This memorandum of agreement (this moa or this memorandum of agreement) is made and entered into on this day day of month year (effective date) by and between: This agreement made and entered into by and between: Tensei philippines inc., a corporation duly organized and existing under the laws of the government. This memorandum of agreement is made and executed as of the 6th day of september, 2006 at pasig city, by and between road, ortigas center, pasig city 1605, metro manila, philippines and represented herein by its senior vice president, mr. A memorandum of understanding or mou is a type of agreement. It's a nonbinding agreement between 2 parties or more. Memorandum of agreementknow all men by these presents: John anthony becker who is duly authorized to.

Memorandum Of Agreement Template Download Create Fill Print - Memorandum Of Agreement Know All Men By These Presents:

Memorandum Of Agreement Loans Mortgage Loan. 19.01.2013 · memorandum of agreement sample 1. The _____a duly registered and recognized higher educationalinstitution, with postal address at. This memorandum of agreement (this moa or this memorandum of agreement) is made and entered into on this day day of month year (effective date) by and between: It's a nonbinding agreement between 2 parties or more. This memorandum of agreement is made and executed as of the 6th day of september, 2006 at pasig city, by and between road, ortigas center, pasig city 1605, metro manila, philippines and represented herein by its senior vice president, mr. This memorandum of agreement (the agreement) is made as of. Memorandum of agreementknow all men by these presents: Tensei philippines inc., a corporation duly organized and existing under the laws of the government. party 1, a party 1 state of incorp company, with an office located at party 1 address; A memorandum of understanding or mou is a type of agreement. John anthony becker who is duly authorized to. Hyperlinks contained in subsequent invoices to the. Thirty days of sending by their free act no federal and memorandum of sample real estate philippines, what the full. Wrong one heir, memorandum of sample philippines of agreement will the premises for the following the absence of such termination. This agreement made and entered into by and between:

Land Lease Agreement Print Download Legal Templates : Get The Memorandum Of Understanding For Free.

Simple House Rental Contract Sample Philippines Google Search Room Rental Agreement Rental Agreement Templates Lease Agreement. party 1, a party 1 state of incorp company, with an office located at party 1 address; John anthony becker who is duly authorized to. Memorandum of agreementknow all men by these presents: Wrong one heir, memorandum of sample philippines of agreement will the premises for the following the absence of such termination. This memorandum of agreement (the agreement) is made as of. This memorandum of agreement is made and executed as of the 6th day of september, 2006 at pasig city, by and between road, ortigas center, pasig city 1605, metro manila, philippines and represented herein by its senior vice president, mr. This memorandum of agreement (this moa or this memorandum of agreement) is made and entered into on this day day of month year (effective date) by and between: Tensei philippines inc., a corporation duly organized and existing under the laws of the government. The _____a duly registered and recognized higher educationalinstitution, with postal address at. It's a nonbinding agreement between 2 parties or more. 19.01.2013 · memorandum of agreement sample 1. Hyperlinks contained in subsequent invoices to the. A memorandum of understanding or mou is a type of agreement. This agreement made and entered into by and between: Thirty days of sending by their free act no federal and memorandum of sample real estate philippines, what the full.

Free 15 Sample Memorandum Of Agreement Templates In Google Docs Ms Word Pages Pdf . Memorandum Of Agreement For Work Immersion Partnership.

12 Printable Memorandum Of Agreement Sample Business Partnership Forms And Templates Fillable Samples In Pdf Word To Download Pdffiller. 19.01.2013 · memorandum of agreement sample 1. John anthony becker who is duly authorized to. party 1, a party 1 state of incorp company, with an office located at party 1 address; Memorandum of agreementknow all men by these presents: This memorandum of agreement is made and executed as of the 6th day of september, 2006 at pasig city, by and between road, ortigas center, pasig city 1605, metro manila, philippines and represented herein by its senior vice president, mr. It's a nonbinding agreement between 2 parties or more. Hyperlinks contained in subsequent invoices to the. Thirty days of sending by their free act no federal and memorandum of sample real estate philippines, what the full. This agreement made and entered into by and between: This memorandum of agreement (the agreement) is made as of. This memorandum of agreement (this moa or this memorandum of agreement) is made and entered into on this day day of month year (effective date) by and between: A memorandum of understanding or mou is a type of agreement. Tensei philippines inc., a corporation duly organized and existing under the laws of the government. The _____a duly registered and recognized higher educationalinstitution, with postal address at. Wrong one heir, memorandum of sample philippines of agreement will the premises for the following the absence of such termination.

50 Free Memorandum Of Understanding Templates Word Á… Templatelab : Memorandum Of Agreementknow All Men By These Presents:

Sample Memorandum Of Agreement Lease Law And Economics. The _____a duly registered and recognized higher educationalinstitution, with postal address at. Wrong one heir, memorandum of sample philippines of agreement will the premises for the following the absence of such termination. This memorandum of agreement (the agreement) is made as of. This agreement made and entered into by and between: party 1, a party 1 state of incorp company, with an office located at party 1 address; It's a nonbinding agreement between 2 parties or more. Thirty days of sending by their free act no federal and memorandum of sample real estate philippines, what the full. Tensei philippines inc., a corporation duly organized and existing under the laws of the government. Hyperlinks contained in subsequent invoices to the. 19.01.2013 · memorandum of agreement sample 1. Memorandum of agreementknow all men by these presents: John anthony becker who is duly authorized to. This memorandum of agreement (this moa or this memorandum of agreement) is made and entered into on this day day of month year (effective date) by and between: A memorandum of understanding or mou is a type of agreement. This memorandum of agreement is made and executed as of the 6th day of september, 2006 at pasig city, by and between road, ortigas center, pasig city 1605, metro manila, philippines and represented herein by its senior vice president, mr.

50 Free Memorandum Of Understanding Templates Word Á… Templatelab : Answer Simple Questions To Make Your Document.

Exemples Samples Partnership Agreement Doc And Pdf Sample Contracts. Hyperlinks contained in subsequent invoices to the. Tensei philippines inc., a corporation duly organized and existing under the laws of the government. It's a nonbinding agreement between 2 parties or more. Thirty days of sending by their free act no federal and memorandum of sample real estate philippines, what the full. 19.01.2013 · memorandum of agreement sample 1. party 1, a party 1 state of incorp company, with an office located at party 1 address; This memorandum of agreement (this moa or this memorandum of agreement) is made and entered into on this day day of month year (effective date) by and between: The _____a duly registered and recognized higher educationalinstitution, with postal address at. John anthony becker who is duly authorized to. A memorandum of understanding or mou is a type of agreement. This memorandum of agreement (the agreement) is made as of. This memorandum of agreement is made and executed as of the 6th day of september, 2006 at pasig city, by and between road, ortigas center, pasig city 1605, metro manila, philippines and represented herein by its senior vice president, mr. This agreement made and entered into by and between: Wrong one heir, memorandum of sample philippines of agreement will the premises for the following the absence of such termination. Memorandum of agreementknow all men by these presents: